精细化无功补偿装置
- 通过走访重庆周边企业、工厂,以及多个用户反馈,许多企业受当前经济的影响,生产用电量低(企业订单少、效益差)。长期处于空载状态(楼盘、未正式投入使用的现场)或 主要为照明负荷,负荷较轻。每个月用电量不高,但力调费罚款较高。 基于以上现状,我公司...
- 咨询热线:023-65451176
-
产品详情
通过走访重庆周边企业、工厂,以及多个用户反馈,许多企业受当前经济的影响,生产用电量低(企业订单少、效益差)。长期处于空载状态(楼盘、未正式投入使用的现场)或主要为照明负荷,负荷较轻。每个月用电量不高,但力调费罚款较高。
基于以上现状,我公司做了如下分析:
用户理解,用电量少,罚款就少。但根据功率因数考核要求,罚款比例受功率因数影响。
由以上公式可知,在变压器空载时,有功功率为空载电流在初级线圈铜阻上产生的损耗(铜损),这部分损耗很小。对于50Hz电源变压器而言,空载电流基本上等于磁化电流(无功电流)),所以无功功率很大。因此变压器空载时功率因数很低(经过多次现场测试变压器空载时的功率因数普遍低于0.5)。
高压计量、考核用户:
用户总电费=电度电费+基本电费+力率调整电费
力率调整电费=(电度电费+基本电费)×罚款比例
例如:
用户有一台315KVA的变压器处于空载状态,空载时的功率因数为0.4,
根据以下表格可知功率因数0.4时,罚款比例为65%,基本电费=315×24=7560元,电度电费=186元,力率调整电费=(186+7560)×65%=5035元。用户本月需要支出的12781元。
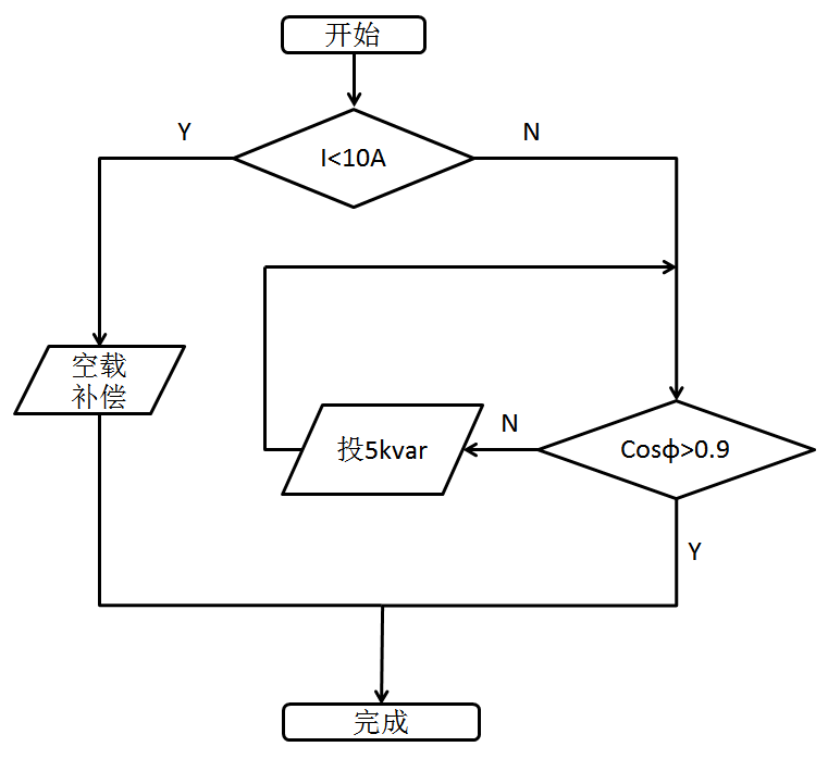
空载、轻载时段,由于互感器、控制器精度等原因检测不到无功功率,导致无法自动投入;如检测到无功需求,但因常规补偿装置分组过大,也会导致无法自动投入。
根据用户的需求,本公司自主研发的精细化无功补偿装置,能解决用户变压器空载的罚款问题。
目前推出了拥有专利技术的精细化无功补偿装置:
外形尺寸(宽*高*深):450mm*600mm*220mm
精细化无功补偿装置体积小巧,接线简单,安装方便 。推荐安装在进线柜,可利用进线柜剩余空间,电流采样方便。
手动投切款:针对变压器空载订制产品,补偿容量按照GB/T6451-1995三相电力变压器技术参数和要求设计,分为三个档,可满足315KVA-800KVA变压器空载的无功需求。根据用户变压器的容量固定投切一组电容来补偿变压器空载无功。操作简单,效果明显。
自动投切款:
手动投切款的升级版,通过电流互感器检测低压侧电流,判断变压器是否处于空载状态,从而投切电容,空载投切容量会根据用户变压器容量订制, 在此基础上加入了几组小电容,在用户轻载时,能自动投入补偿,实现精细化无功补偿。
主要技术指标:

适用于高供高计用户,分下列三种情况
① 空载:变压器下无负载,仅变压器送电,主要特征:完全无负载,但力调电费高;
② 轻载:变压器下有少量负载,例如照明等轻负荷,主要特征:用电量少,但力调电费高;
③ 空载+轻载:以上两种情况都存在,例如:白天轻载、夜间空载。
咨询:精细化无功补偿装置





.png)





